“Divisão e Conquista: é uma técnica valiosa usada em momentos complicados, onde dividimos um grande problema em problemas menores até ser resolvido". Anatolii Karatsuba
terça-feira, 28 de maio de 2013
Equações irracionais: exercícios resolvidos e teoria
RESOLUÇÃO DE EQUAÇÕES IRRACIONAIS
Na resolução da equações irracionais em R, procedemos do seguinte modo:
1º - Isolamos um dos radicais em um dos membros da equação dada.
2º - Elevamos os dois bembros da equação a um expoente adequado.
3º - Se ainda restar um ou mais radicais, repetimos as operações anteriores.
4º - Verificar as soluções encontradas.
EXERCÍCIOS
1) Quais são as equações irracionais.
Exemplo 2
EXERCÍCIOS
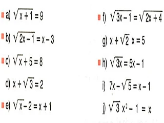
1) Resolva as equações irracionais em R:
2) Resolva as equações irracionais em R.
3) Resolva as equações irracionais em R
Exemplos 3
1) Resolva as equações em R:
Exemplo 4
EXERCÍCIOS
1) Resolva as equações irracionais em R:
EXERCÍCIOS
TESTE
Assinar:
Postar comentários (Atom)
Destaque!!!!!!!!!!!
Aula criativa de matemática sobre a conversão do dólar
Um emprego em um navio de cruzeiro pode ser uma grande chance de conhecer lugares novos e ganhar um bom salário. Quanto melhor for seu ingl...
-
O objeto capaz de medir o valor de um ângulo é chamado de transferidor, podendo ele ser de “meia volta” (180º) ou volta inteira (360º). ...
-
Frações: Própria, imprópria, aparente e números mistos. Temos que ter a noção básica de que toda fração é uma divisão. E que uma f...
-
A potenciação é uma multiplicação de fatores iguais Exemplos: 1) (1,2)² = 1,2 x 1,2 =1,44 2) (0,4)³ = 0,4 x 0,4 x 0,4 = 0,064 vamo...






















uma excelente amostra grátis de equações irracionais,eu fui beneficiado de maneira satisfatória por esses assuntos
ResponderExcluirpostados.
Adoreeeeeeei!!!
ResponderExcluirNão sei se o autor lerá, mas muito obrigada pelos exercícios disponibilizados.