RADICAIS SEMELHANTES
Radicais semelhantes são os que têm o mesmo índice e o mesmo radicando
Adição e subtração de radicais
1º Caso: Ocorre quando todos as raízes já se encontram com o mesmo radicando. Exs.:
2º Caso: Ocorre quando as raízes não são semelhantes, tendo assim, que serem todas reduzidas ao mesmo índice. Exs:
OBS: É importante saber, que, para resolver esse tipo de cálculo, a pessoa deve saber como reduzir raízes ao mesmo índice.
EXERCÍCIOS
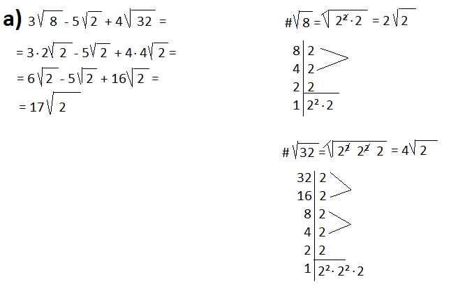
1) Calcule
a) √9 + √4 =
b) √25 - √16 =
c) √49 + √16 =
d) √100 - √36 =
e) √4 - √1 =
f) √25 - ³√8 =
g) ³√27 + ⁴√16 =
h) ³√125 - ³√8 =
i) √25 - √4 + √16 =
j) √49 + √25 - ³√64 =
2) Efetue as adições e subtrações:
a) 2√7 + 3√7 =
b) 5√11 - 2√11 =
c) 8√3 - 10√3 =
d) ⁴√5 + 2⁴√5 =
e) 4³√5 - 6³√5 =
f) √7 + √7 =
g) √10 + √10 =
h) 9√5 + √5 =
i) 3.⁵√2 – 8.³√2 =
j) 8.³√7 – 13.³√7 =
k) 7√2 - 3√2 +2√2 =
l) 5√3 - 2√3 - 6√3 =
m) 9√5 - √5 + 2√5 =
n) 7√7 - 2√7 - 3√7 =
o) 8. ³√6 - ³√6 – 9. ³√6 =
p) ⁴√8 + ⁴√8 – 4. ⁴√8 =
3) Simplifique os radicais e efetue as operações:
a) √2 + √32=
b) √27 + √3 =
c) 3√5 + √20 =
d) 2√2 + √8 =
e) √27 + 5√3 =
f) 2√7 + √28 =
g) √50 - √98 =
h) √12 - 6√3 =
i) √20 - √45 =
4) Simplifique os radicais e efetue as operações:
a) √28 - 10√7 =
b) 9√2 + 3√50 =
c) 6√3 + √75 =
d) 2√50 + 6√2 =
e) √98 + 5√18 =
f) 3√98 - 2√50 =
g) 3√8 - 7√50 =
h) 2√32 - 5√18 =
5) Simplifique os radicais e efetue as operações:
a) √75 - 2√12 + √27 =
b) √12 - 9√3 + √75 =
c) √98 - √18 - 5√32 =
d) 5√180 + √245 - 17√5 =
MULTIPLICAÇÃO
a)1º Caso: Os radicais têm o mesmo índice. Efetuamos a operação entre os radicandos.
b)2º Caso: Os radicais não têm o mesmo índice. Inicialmente devemos reduzi-los ao mesmo índice.
Divisão
EXERCÍCIOS
6) Efetue as multiplicações e divisões:
a) √2 . √7 =
b) ³√5 . ³√10 =
c) ⁴√6 . ⁴√2 =
d) √15 . √2 =
e) ³√7 . ³√4 =
f) √15 : √3 =
g) ³√20 : ³√2 =
h) ⁴√15 : ⁴√5 =
i) √40 : √8 =
j) ³√30 : ³√10 =
7) Multiplique os radicais e simplifique o produto obtido:
a) √2 . √18 =
b) √32 . √2 =
c) ⁵√8 . ⁵√4 =
d) ³√49 . ³√7 =
e) ³√4 . ³√2 =
f) √3 . √12 =
g) √3 . √75 =
h) √2 . √3 . √6 =
8) Efetue as multiplicações e divisões:
a) 2√3 . 5√7 = (R: 10√21)
b) 3√7 . 2√5 = (R: 6√35)
c) 2. ³√3 . 3. ³√3 = (R: 6. ³√15)
d) 5.√3 . √7 = (R: 5√21)
e) 12. ⁴√25 : 2. ⁴√5 = (R: 6. ⁴√5)
f) 18. ³√14 : 6. ³√7 = (R: 3. ³√2)
g) 10.√8 : 2√2 = (R: 5√4)




Explicações muito Boas! Objetivas, simples e rápidas.
ResponderExcluir